井出草平の研究ノート

2017-09-01から1ヶ月間の記事一覧

抹消結果を伴った潜在クラス分析の方法の比較

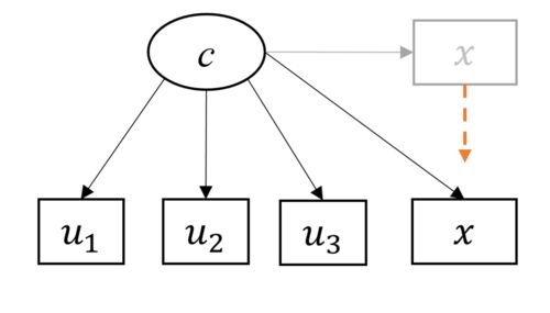
潜在クラス分析の潜在変数を独立変数として使う場合には、いくつか方法がある。最も簡便なのは、潜在クラス分析の中に、従属変数を組み込んでしまう方法である。 パス図で示すとこの方法が合理的であることがわかるだろう。 近年になって一部の統計パッケー…

抹消結果(distal outcomes)を伴った潜在クラス分析

抹消結果を伴った潜在クラス分析(Latent Class Analysis with distal outcomes)とは、潜在変数を独立変数にした分析のことである。今回はMplusを使用して分析を行ってみたい。 まとめると以下のようになる。 表1 カテゴリカル変数の分析法のまとめ 観察さ…