井出草平の研究ノート

構造方程式モデリング

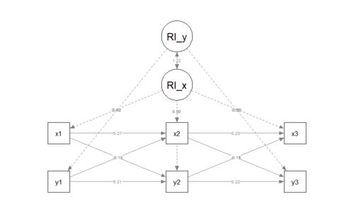
RI‐CLPM[R]

RI‐CLPMは従来のCLPMと比較して、個人間の安定的な違い(trait)の影響を分離できる点で優れている。 CLPMは時間的な因果関係を検証するためのモデルであるが、個人ごとの安定した水準の違いが混入するため、変数間の動的な影響が歪められる可能性がある。こ…

多母集団同時の回帰分析のパスの検定

データの準備 data("mtcars") write.csv(mtcars, "mtcars.csv") head(mtcars) str(mtcars) 今回は2つのグループを作るため、軽い車と重い車の2値データを作成し、軽い車をGroup1、重い車をGroup2として分析を行う。 # データの読み込み data(mtcars) # wtの…

多母集団同時分析

library(lavaan) # HolzingerSwineford1939 データを読み込む data(HolzingerSwineford1939) head(HolzingerSwineford1939) データはこのような感じ id sex ageyr agemo school grade x1 x2 x3 x4 x5 x6 1 1 1 13 1 Pasteur 7 3.333333 7.75 0.375 2.333333 …

lavaanの結果をcsvで書きだす[R][lavaan]

psychパッケージのbfiデータを読み込む library("psych") data(bfi) lavaanパッケージでbfiデータを用い、因子分析と回帰分析を含む分析を行う library("lavaan") model = ' Neuroticism =~ N1 + N2 + N3 + N4 + N5 Extraversion =~ E1 + E2 + E3 + E4 + E5 …

交差遅延パネルモデルCross-lagged Panel Model[R]

Stataでの分析方法はこちら。 ides.hatenablog.com Mplusでの分析方法はこちら。 ides.hatenablog.com データ読み込み library(rio) nes3wave <-import("nes3wave.dta") 今回のパス図を先に表示しておこう。 コードは末尾。semPlotパッケージを用いて描画し…

交差遅延パネルモデルCross-lagged Panel Model[Mplus]

以前、Stataで交差遅延パネルモデルに解説した例で今回もデモを行う。 ides.hatenablog.com Mplus用のデータ加工 github.com こちらからnes3wave.dtaをダウンロードする。 RStudioでMplus用のデータに加工する。 データの読み取り library(rio) nes3wave <-i…

固定効果SEM・ランダム効果SEM[Stata]

SEMモデル内に観測されない異質性を組み入れることができる。これを行うために、我々は、観測されない潜在変数を使用する。 このモデルでは、潜在的なUは独立変数と相関し、従属変数に一定の効果を持つ。 . sem (U -> dg02i1, ) (U -> dg02i2, ) (U -> dg02i…

パス解析・直接効果・間接効果[Mplus][R]

UCLA: Statistical Consulting Groupのページから。 stats.oarc.ucla.edu UCLAではMplusのコードが書かれているが、このエントリでは、同じ分析をRのlavaanでの再現したいと思う。 Mplus パス解析はすべての変数が観測される方程式系を推定するために使用さ…

収束妥当性

A Primer on Partial Least Squares Structural Equation Modeling (PLS-SEM)作者:Hair Jr., Dr. Joe,Hult, G. Tomas M.,Ringle, Dr. Christian M.,Sarstedt, MarkoSAGE Publications, IncAmazon A Primer on Partial Least Squares Structural Equation Mod…

lavaanを用いてWLSMVによる測定の不変性を計算する[R]

WLSMV(adjusted diagonally weighted least squares)での測定の不変性の方法が確立しているらしい。 https://www.tandfonline.com/doi/abs/10.1080/10705511.2019.1602776 最尤法での測定の不変性についてはこちらを参照のこと。 ides.hatenablog.com サンプ…

Kaiser-Meyer-Olkinの標本妥当性の測度とMeasures of Sampling Adequacy

Kaiser-Meyer-Olkin(KMO)の標本妥当性の測度とMeasures of Sampling Adequacy(MSA)について。 中澤港さんの資料 https://minato.sip21c.org/factor-in-R-j.pdf KMO と MSA KMO とは,Kaiser-Meyer-Olkin が提唱した因子分析全体についてのサンプリング適切性…

子どもがゲーム障害にならないように親がモニタリングする場合には父子関係が良好であることが重要

www.ncbi.nlm.nih.gov 思春期のインターネットゲーム障害の予防には親が重要な役割を果たすことが指摘されている。この研究は、3時点(3波)の調査を行い、親のモニタリングとインターネットゲーム障害の間の相互関連性を調べている。 第1波と第2波では、親の…

Fornell & Larcker基準とHTMT基準の使い分け

iopscience.iop.org M R Ab Hamid, W Sami and M H Mohmad Sidek, 2017, Discriminant Validity Assessment: Use of Fornell & Larcker criterion versus HTMT Criterion, Journal of Physics: Conference Series, Volume 890, 1st International Conference…

lavaanを用いた測定不変性の確認[R]

lavaanで測定普遍性を確認する方法。 rstudio-pubs-static.s3.amazonaws.com ある構成要素についてグループ間で比較を行うとき、暗黙のうちに測定の不変性を仮定している。回帰分析、t検定、混合効果モデルなどを行っている時も、その構成要素が同じように機…

lavaanのモデルの尤度比検定[R]

lavTestLRT関数を用いる。昔のバージョンではanova(fit1, fit0)という書き方をしたようだが、現在はlavTestLRT関数に変更されている。 www.rdocumentation.org LRTはLikelihood-ratio testつまり尤度比検定である。ブートストラップをかけて行うとBLRTである…

複数グループのCFAのフィッティング指標[R]

複数グループに分けての確証的因子分析。 とりあえずの用途としては、構成概念妥当性を調べる際に複数グループのフィッティング指標を見るというもの。測定の不定性と言われるもの(Measurement Invariance)である。 lavaan.ugent.be グループ変数は"school"…

潜在クラス分析の適用例-禁煙

RMLCA(反復測定潜在クラス分析)の適用例として有名な論文らしい。 www.ncbi.nlm.nih.gov - Danielle E. McCarthy, Lemma Ebssa, Katie Witkiewitz, and Saul Shiffman, 2015, Paths to tobacco abstinence: A repeated measures latent class analysis, J Co…

潜在クラス分析の適用例-運動とライフスタイル介入

www.ncbi.nlm.nih.gov 2017年の潜在クラス分析を使った論文。Distal Outcomesも使用されている。 潜在クラス分析 クラス決定のための指標類のグラフ。 たくさん表記している印象がある。 クラスごとの応答確率の表。 Distal Outcomesを伴った潜在クラス分析 …

lavaanで潜在変数の相関係数を求める[R]

データとモデルの作成 library("lavaan") Data <- HolzingerSwineford1939[,c("x1","x2","x3","x4", "x5", "x6")] model <- ' f1 =~ x1 + x2 + x3 f2 =~ x4 + x5 + x6 ' fit <- sem(model, data = Data, std.lv = TRUE) lavaanパッケージに含まれているデー…

lavaanで順序尺度のSEMを行う[R]

相関係数をピアソンではなく、ポリコリック相関係数を使う方法。例として簡単な確証的因子分析を行う。 サンプルデータの作成 library(lavaan) data.con <- HolzingerSwineford1939[,c("x1","x2","x3")] # visualのデータのみ使用 ## 3カテゴリにしてカテゴ…

共変量とカテゴリカルなDistal Outcomesを伴った潜在クラス分析[Mplus]

共変量とDistal Outcomesのある潜在クラス分析で、かつ、Distal Outcomesがカテゴリカルな場合の分析である。 モデル コード DATA: FILE = LCA_cat.dat; VARIABLE: NAMES = U1-U8 Y A B; USEVARIABLES = U1-U8 Y A B; CATEGORICAL = U1-U8 Y; CLASSES = C(3)…

潜在クラス分析でクラス応答確率を出力するには[Mplus]

SAVEDATA: FILE = ****.sav; SAVE = CPROB; やはりメモってないと忘れる。

潜在クラス分析におけるBCH法-回帰補助モデル[Mplus]

前回に引きつづき潜在クラス分析におけるBCH法について。 http://www.statmodel.com/examples/webnotes/webnote4.zip 今回は共変量(X)を設定し、従属変数(Y)に回帰するモデルである。 データが見つからなかったのでRで仮想データ作成した。適当に乱数を発生…

潜在クラス分析におけるBCH法[Mplus]

Mplusのウェブノートが更新されていたようだ。 https://www.statmodel.com/examples/webnotes/webnote21.pdf BCH法の例 U1からU8で構成されている潜在変数C、Cを独立変数としてYに回帰させるモデル。Cのクラスは4カテゴリ。データファイルはウェブ上にはなか…

合成信頼性を計算する[R]

合成信頼性(Composite Reliability)はCronbach'αの代替指標として使われているものである。 lavaanで最後まで計算できると思っていたが、そうではなかったらしいので計算方法を再度調べてみた。 合成信頼性の解釈 合成信頼性(construct reliabilityと呼ばれ…

日本語文献におけるクロンバックα、合成信頼性、平均分散抽出の使用例

ci.nii.ac.jp 各因子の信頼性に関して,クロンバックα係数(Cronbach’s α)および合成信頼性(Composite Reliability:CR)を用いて検証を行った.クロンバックα係数には,Hairet al.35)の基準値(α≧.70)を設定し,合成信頼性にはBagozzi & Yi 36)の基準…

平均分散抽出(AVE)をsemToolsで計算する[R]

平均分散抽出average variance extracted (AVE) 。Fornell&Larcker基準とも言われている。 rdrr.io 計算 library(semTools) HS.model <- ' visual =~ x1 + x2 + x3 textual =~ x4 + x5 + x6 speed =~ x7 + x8 + x9 ' dat <- HolzingerSwineford1939[, paste…

HTMTをsemToolsで求める[R]

www.rdocumentation.org library(semTools) HS.model <- ' visual =~ x1 + x2 + x3 textual =~ x4 + x5 + x6 speed =~ x7 + x8 + x9 ' dat <- HolzingerSwineford1939[, paste0("x", 1:9)] htmt(HS.model, dat, sample.cov = NULL, missing = "listwise", or…

潜在移行分析の解説スライド

ネブラスカ子ども・若者・家族・学校研究センターのJi Hoon Ryooらの解説スライドからら重要そうなところをピックアップ。 http://r2ed.unl.edu/presentations/2012/SRM/033012_RyooWu/033012_RyooWu.pdf 潜在成長モデルとの違い 時間の経過とともに変化する…

タイタニック・データを用いた交互作用項のある媒介分析[Mplus]

以前のエントリーの続き。 ides.hatenablog.com 今回は交互作用を含むモデル。 独立変数(介入)と媒介変数は交互作用が生じることが多いので交互作用項を作成して分析に含めるか、連続変数の場合はセンタリング(参照)をした方がいいと言われている。タイタニ…