井出草平の研究ノート

2020-06-10から1日間の記事一覧

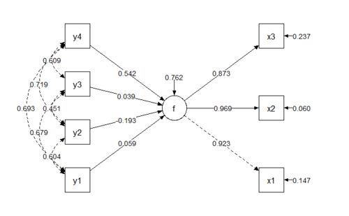
lavaanパッケージを用いてMIMICモデルを推定する[R]

複数の観測変数によって1つの構成概念が規定され、その構成概念が別の観測変数群に影響を与えているようなモデルをMIMIC(Multiple Indicator Multiple Cause)モデルと呼ぶ。 前回と同じくPoliticalDemocracyのデータを使用してPLSモデルをlavaanパッケージ…

ゲームで視力回復--目に悪いって誰が言っているの?

BBCの記事から。 news.bbc.co.uk 「目に悪いって誰が言っているの?」はBBCニュースの写真のキャプションに書いてある言葉。BBCの煽りだろうか。 抄訳 アクションゲームをプレイすることで、以前は変わらないとされていた成人の視力が向上する可能性があるこ…