井出草平の研究ノート
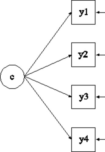
以前にポストしたRのmclustライブリーでの分析はこちら。 ides.hatenablog.com 例題 今回はMplusのUser's Guideの例をそのまま使う。 例7.3の連続潜在クラス指標を用いたLCAで、ランダムスタートによる自動開始値を用いたものである。 Mplusの解説 この例と…
引用をストックしました
引用するにはまずログインしてください
引用をストックできませんでした。再度お試しください
限定公開記事のため引用できません。